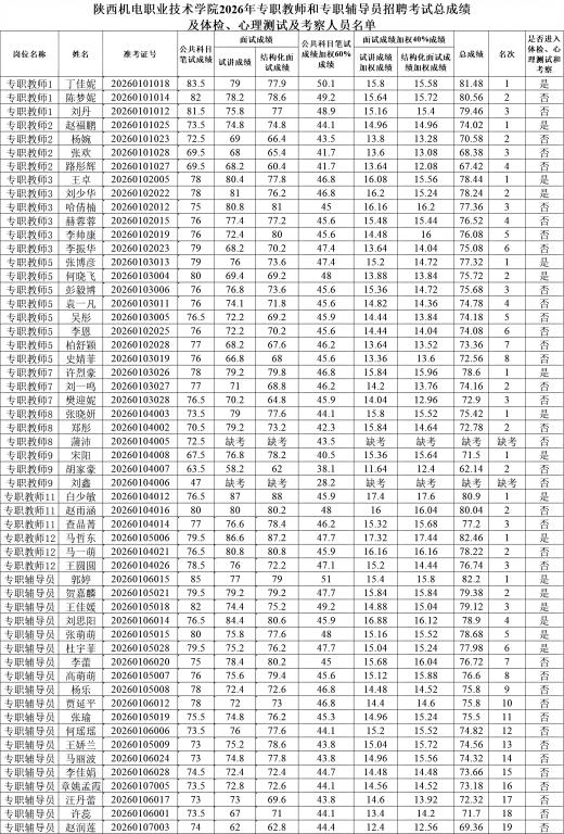
根据《陕西机电职业技术学院关于2026年专职教师和专职辅导员招聘考试的公告》,我校于2026年4月8日—9日组织进行了公共科目笔试和面试。现将考试总成绩及进入体检、心理测试和考察人员名单公布如下:
一、考试总成绩及体检、心理测试和考察人员名单

二、体检、心理测试和考察相关事宜
按照学校此次招聘工作总体安排,请进入体检、心理测试和考察的应聘人员关注学校人事处网站“人才引进”专栏,按照《关于2026年专职教师和专职辅导员招聘体检、心理测试和考察的通知》参加体检、心理测试和考察。
陕西机电职业技术学院
2026年4月9日